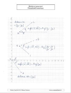
module et argument nombre complexe – bilan graphique

module et argument nombre complexe - recapitulatif graphique dans un repere

Laisser un commentaire

Votre adresse e-mail ne sera pas publiée. Les champs obligatoires sont indiqués avec *